
Poznaj znaczenie przedrostka "piko" w układzie SI. Dowiedz się, ile wynosi ta maleńka jednostka i jak porównuje się z innymi przedrostkami. Zrozum zastosowanie w nauce i technologii.
Jestem miłośniczką dobrych historii i emocji, jakie niesie ze sobą świat kinematografii. Na mojej stronie znajdziecie recenzje najnowszych premier, ciekawostki ze świata rozrywki oraz głębsze analizy filmowych fabuł i postaci.

Poznaj znaczenie przedrostka "piko" w układzie SI. Dowiedz się, ile wynosi ta maleńka jednostka i jak porównuje się z innymi przedrostkami. Zrozum zastosowanie w nauce i technologii.

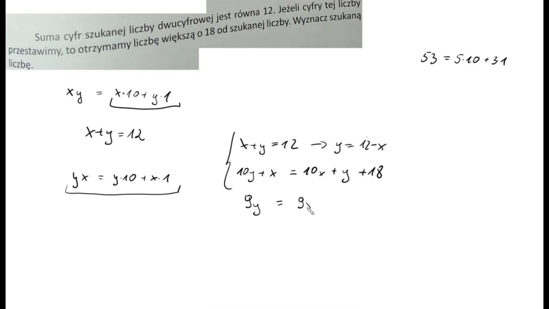
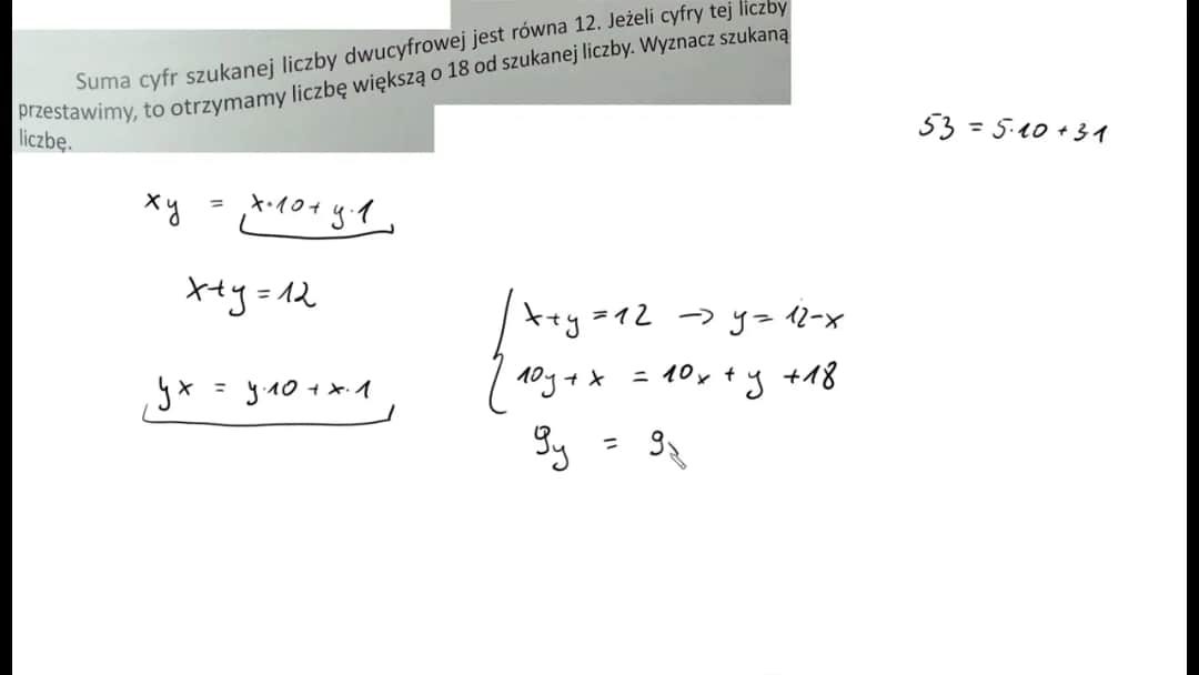
Dowiedz się, ile to jest 12 i odkryj fascynujące właściwości tej liczby. Poznaj jej zastosowania w matematyce, życiu codziennym i kulturze. Ciekawostki o liczbie 12 czekają!

Dowiedz się, ile jabłek waży kilogram i jak to się zmienia w zależności od rozmiaru owoców. Poznaj przeliczniki dla różnych jabłek i innych popularnych owoców. Praktyczne informacje dla kupujących i gotujących.

Dowiedz się, ile litrów to 20 kg różnych substancji. Prosty wzór na przeliczanie masy na objętość. Praktyczne przykłady dla wody, oleju i innych płynów. Sprawdź teraz!

Sprawdź, ile dokładnie cali to 2 cm! Poznaj prosty wzór na przeliczanie jednostek oraz praktyczny kalkulator cm na cale. Szybka i dokładna konwersja w 5 sekund.

Sprawdź aktualną wartość 138 funtów w złotówkach. Dokładne przeliczenie, aktualne kursy wymiany i porady dotyczące wymiany funtów na złote. Poznaj rzeczywistą wartość GBP w PLN.

Dowiedz się ile milimetrów ma 1 mikrometr! Poznaj przelicznik, konwersję µm na mm i praktyczne zastosowania mikrometrów. Zaskakujące fakty o najmniejszych jednostkach długości.

Poznaj dokładną wartość 1 jarda w centymetrach i naucz się łatwo przeliczać jednostki długości. Sprawdź tabelę konwersji i praktyczne zastosowania tej wiedzy.

Poznaj dokładną relację między litrem a centymetrem sześciennym. Dowiedz się, ile cm3 mieści się w 1 litrze i jak przeliczać jednostki objętości. Praktyczne informacje i fakty.

Dowiedz się, ile centymetrów ma rura 1-calowa. Poznaj dokładne wymiary, przeliczniki i różnice między średnicą nominalną a rzeczywistą. Praktyczne informacje dla każdego instalatora.